О свободе воздуха: Кто куда может летать?
Мы вот с вами летаем по миру и особо не задумываемся о том, как получается, что самолёты одной страны спокойно себе летают в другую над третей. Сегодня нам это кажется само собой разумеющимся делом. А ведь это не просто так. Вспомните, не так чтоб очень давно СССР сбил корейский пассажирский самолёт за нарушение воздушного пространства! В наше время возможность авиалиний летать в другие страны сегодня обеспечивает целая система международных соглашений, как многосторонних, так и двухсторонних.

Всё это разрабатывалось вместе с гражданской авиацией с 1940х годов. Давайте посмотрим на то, как это работает.
О том, что самолёты могут и не могут делать в небесах других стран обычно договариваются на межгосударственном уровне. То есть, если условный Эйр Франс хочет полететь в Россию, или даже пролететь над ней по пути в Японию, надо чтобы французское правительство договорилось с российским о порядке, в котором будут выделяться такие рейсы.

Некоторые страны вступают в так-называемые соглашения открытых небес (Open Skies), когда летать друг к другу можно без ограничений - надо лишь оплачивать диспетчерские услуги и использование аэропортов по установленным расценкам. Например весь Евросоюз является такой открытой зоной. Европейцы могут друг к другу летать как хотят.
А бывает, что страны договариваются о конкретном количестве "слотов", которые потом выделяются авиакомпаниям с какими-нибудь условиями. Например недавно Китай и Великобритания заключили договор, увеличивающий количество рейсов между странами до 100 в неделю. Обычно в таких случаях авиалинии каждой стороны получают половину слотов, чтоб никому не было обидно.
Гражданская авиация стремительно развивалась в послевоенном мире, и надо было понять, как это регулировать. Американцы, у которых были самые развитые авиалинии хотели сделать правила максимально либеральными. Но остальные страны боялись, что таким образом иностранцы будут доминировать над местными компаниями. Тогда США предложили использовать в переговорах терминологию "Свобод Воздушного Пространства" - обозначив пять разных уровней доступа к самолётов одной страны в другую.
Эти Свободы, "Freedoms of the air" используются до сих пор.
Первая Свобода: Право пролетать в воздушном пространстве другой страны не приземляясь. Например если самолёт Дельты летит из Нью Йорка на Аляску, и пролетает над Канадой.
Вторая Свобода: Право приземляться в другой стране для дозаправки и обслуживания, но не выгружая при этом грузы или пассажиров. Эта Свобода была тесно связана с Первой, когда самолёты не были способны летать на слишком далёкие расстояния. Сегодня большинство рейсов обходятся без таких остановок. Пример Второй свободы - полёт Дельты из НЙ на Аляску с дозаправкой где-нибудь в Канаде.
Существует соглашение о транзите по международным воздушным линиям, ("IASTA"), его сокращённо называют Соглашением по Двум Свободам, по которому страны-участницы предоставляют друг другу эти Свободы за плату не превышающую ту, что они берут с авиакомпаний своей страны. В этот договор входят около 130 стран, включая США, Индию и Австралию. Однако несколько крупных государств решили в нём не участвовать. Особенно Россия и Канада, над чьей территорией проходят многие полярные маршруты предпочитают отдельно договариваться с каждой страной, и собирать за транзит более серьёзные деньги.
Третья Свобода: Право осуществлять рейсы из своей страны в другую. Тут уже речь идёт о перевозке грузов и пассажиров. Например, если та же Дельта летит из Нью Йорка в Ванкувер.
Четвёртая Свобода: Право летать из другой страны в свою. Скажем Дельта из Ванкувера в НЙ. Разумеется Третья и Четвёртая Свободы очень тесно связаны - не имеет смысла давать одну но не другую.
Пятая Свобода: Вот эта одна из самых интересных - это право совершать рейсы между двумя иностранными государствами как часть полёта к себе в страну, или из неё. Например если самолёт Аэрофлота по дороге из Лондона делает остановку в Амстердаме.
Пятая Свобода часто используется авиалиниями для того чтобы увеличить пассажиро-поток на некоторых маршрутах. А страны уступают это право другим ради развития туризма, чтобы увеличить приток посетителей, или повысить количество рейсов на тех маршрутах где своих авиалиний не хватает.

Кто знает, что это за авиалиния?
Первые Пять это официальные свободы, но в последнее время появились и другие.
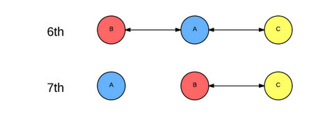
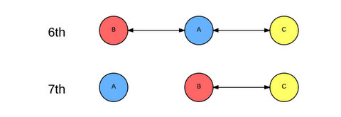
Шестая Свобода: Это просто совмещение Третей и Четвёртой: Рейсы между двумя иностранными точками с транзитом через домашний аэропорт. Например если рейс Эйр Франса летит из Лондона в Париж, а потом в Москву, продавая билеты на все комбинации этих отрезков.
Седьмая Свобода: Это продолжение Пятой, право летать между двумя заграницами не залетая к себе. Например, если Аэрофлот решил бы сделать просто рейс между Лондоном и Парижем, потому что он считает, что может на этом маршруте неплохо заработать. На практике такое происходит нечасто, так как обычно это невыгодно. Исключением являются некоторые европейские лоу-костеры, которые пользуются соглашением Open Skies, чтобы челночить по всей Европе.

И наконец последние две Свободы самые редкие. Они относятся к праву авиакомпании одной страны осуществлять внутренние рейсы в другой. Это называется странным словом "каботаж".
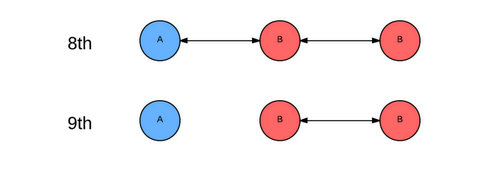
Восьмая Свобода: Последовательный каботаж - авиалиния соединяет два города внутри другой страны, а потом маршрут продолжается в свою. Например Аэрофлот, летит из Сан-Франциско в Москву с остановкой в Нью Йорке.
Девятая Свобода: Отдельный каботаж. Всё то же самое что и Восьмая, только без соединения со своей страной. Как и Седьмая свобода такое происходит довольно редко. Но чисто теоретически, это если бы Аэрофлот решил просто соединить НЙ и СФ регулярными рейсами, не залетая при этом домой в Россию.
Ещё по теме: Правила международных маршрутов заставили Дельту отменить мой любимый рейс
Всё это разрабатывалось вместе с гражданской авиацией с 1940х годов. Давайте посмотрим на то, как это работает.
О том, что самолёты могут и не могут делать в небесах других стран обычно договариваются на межгосударственном уровне. То есть, если условный Эйр Франс хочет полететь в Россию, или даже пролететь над ней по пути в Японию, надо чтобы французское правительство договорилось с российским о порядке, в котором будут выделяться такие рейсы.
Некоторые страны вступают в так-называемые соглашения открытых небес (Open Skies), когда летать друг к другу можно без ограничений - надо лишь оплачивать диспетчерские услуги и использование аэропортов по установленным расценкам. Например весь Евросоюз является такой открытой зоной. Европейцы могут друг к другу летать как хотят.
А бывает, что страны договариваются о конкретном количестве "слотов", которые потом выделяются авиакомпаниям с какими-нибудь условиями. Например недавно Китай и Великобритания заключили договор, увеличивающий количество рейсов между странами до 100 в неделю. Обычно в таких случаях авиалинии каждой стороны получают половину слотов, чтоб никому не было обидно.
Гражданская авиация стремительно развивалась в послевоенном мире, и надо было понять, как это регулировать. Американцы, у которых были самые развитые авиалинии хотели сделать правила максимально либеральными. Но остальные страны боялись, что таким образом иностранцы будут доминировать над местными компаниями. Тогда США предложили использовать в переговорах терминологию "Свобод Воздушного Пространства" - обозначив пять разных уровней доступа к самолётов одной страны в другую.
Эти Свободы, "Freedoms of the air" используются до сих пор.
Вторая Свобода: Право приземляться в другой стране для дозаправки и обслуживания, но не выгружая при этом грузы или пассажиров. Эта Свобода была тесно связана с Первой, когда самолёты не были способны летать на слишком далёкие расстояния. Сегодня большинство рейсов обходятся без таких остановок. Пример Второй свободы - полёт Дельты из НЙ на Аляску с дозаправкой где-нибудь в Канаде.
Существует соглашение о транзите по международным воздушным линиям, ("IASTA"), его сокращённо называют Соглашением по Двум Свободам, по которому страны-участницы предоставляют друг другу эти Свободы за плату не превышающую ту, что они берут с авиакомпаний своей страны. В этот договор входят около 130 стран, включая США, Индию и Австралию. Однако несколько крупных государств решили в нём не участвовать. Особенно Россия и Канада, над чьей территорией проходят многие полярные маршруты предпочитают отдельно договариваться с каждой страной, и собирать за транзит более серьёзные деньги.
Четвёртая Свобода: Право летать из другой страны в свою. Скажем Дельта из Ванкувера в НЙ. Разумеется Третья и Четвёртая Свободы очень тесно связаны - не имеет смысла давать одну но не другую.
Пятая Свобода часто используется авиалиниями для того чтобы увеличить пассажиро-поток на некоторых маршрутах. А страны уступают это право другим ради развития туризма, чтобы увеличить приток посетителей, или повысить количество рейсов на тех маршрутах где своих авиалиний не хватает.
Кто знает, что это за авиалиния?
Первые Пять это официальные свободы, но в последнее время появились и другие.
Седьмая Свобода: Это продолжение Пятой, право летать между двумя заграницами не залетая к себе. Например, если Аэрофлот решил бы сделать просто рейс между Лондоном и Парижем, потому что он считает, что может на этом маршруте неплохо заработать. На практике такое происходит нечасто, так как обычно это невыгодно. Исключением являются некоторые европейские лоу-костеры, которые пользуются соглашением Open Skies, чтобы челночить по всей Европе.
И наконец последние две Свободы самые редкие. Они относятся к праву авиакомпании одной страны осуществлять внутренние рейсы в другой. Это называется странным словом "каботаж".
Девятая Свобода: Отдельный каботаж. Всё то же самое что и Восьмая, только без соединения со своей страной. Как и Седьмая свобода такое происходит довольно редко. Но чисто теоретически, это если бы Аэрофлот решил просто соединить НЙ и СФ регулярными рейсами, не залетая при этом домой в Россию.
Ещё по теме: Правила международных маршрутов заставили Дельту отменить мой любимый рейс